Algorithm 130

[BOJ] 11066: 파일 합치기(JAVA)

https://www.acmicpc.net/problem/11066 11066번: 파일 합치기 소설가인 김대전은 소설을 여러 장(chapter)으로 나누어 쓰는데, 각 장은 각각 다른 파일에 저장하곤 한다. 소설의 모든 장을 쓰고 나서는 각 장이 쓰여진 파일을 합쳐서 최종적으로 소설의 완성본 www.acmicpc.net 소설가인 김대전은 소설을 여러 장(chapter)으로 나누어 쓰는데, 각 장은 각각 다른 파일에 저장하곤 한다. 소설의 모든 장을 쓰고 나서는 각 장이 쓰여진 파일을 합쳐서 최종적으로 소설의 완성본이 들어있는 한 개의 파일을 만든다. 이 과정에서 두 개의 파일을 합쳐서 하나의 임시파일을 만들고, 이 임시파일이나 원래의 파일을 계속 두 개씩 합쳐서 소설의 여러 장들이 연속이 되도록 파일을 ..

Algorithm/백준 2021.10.05

[BOJ] 10844: 쉬운 계단 수(JAVA)

https://www.acmicpc.net/problem/10844 10844번: 쉬운 계단 수 첫째 줄에 정답을 1,000,000,000으로 나눈 나머지를 출력한다. www.acmicpc.net 45656이란 수를 보자. 이 수는 인접한 모든 자리의 차이가 1이다. 이런 수를 계단 수라고 한다. N이 주어질 때, 길이가 N인 계단 수가 총 몇 개 있는지 구해보자. 0으로 시작하는 수는 계단수가 아니다. 입력 첫째 줄에 N이 주어진다. N은 1보다 크거나 같고, 100보다 작거나 같은 자연수이다. 출력 첫째 줄에 정답을 1,000,000,000으로 나눈 나머지를 출력한다. 예제 입력 1 1 예제 출력 1 9 예제 입력 2 2 예제 출력 2 17 [문제 풀이] 2차원 정수 배열 dp를 (N+1) * 10 ..

Algorithm/백준 2021.10.04

[BOJ] 2178: 미로 탐색(JAVA)

https://www.acmicpc.net/problem/2178 2178번: 미로 탐색 첫째 줄에 두 정수 N, M(2 ≤ N, M ≤ 100)이 주어진다. 다음 N개의 줄에는 M개의 정수로 미로가 주어진다. 각각의 수들은 붙어서 입력으로 주어진다. www.acmicpc.net N×M크기의 배열로 표현되는 미로가 있다. 1 0 1 1 1 1 1 0 1 0 1 0 1 0 1 0 1 1 1 1 1 0 1 1 미로에서 1은 이동할 수 있는 칸을 나타내고, 0은 이동할 수 없는 칸을 나타낸다. 이러한 미로가 주어졌을 때, (1, 1)에서 출발하여 (N, M)의 위치로 이동할 때 지나야 하는 최소의 칸 수를 구하는 프로그램을 작성하시오. 한 칸에서 다른 칸으로 이동할 때, 서로 인접한 칸으로만 이동할 수 있다...

Algorithm/백준 2021.10.04

[BOJ] 2606: 바이러스(JAVA)

https://www.acmicpc.net/problem/2606 2606번: 바이러스 첫째 줄에는 컴퓨터의 수가 주어진다. 컴퓨터의 수는 100 이하이고 각 컴퓨터에는 1번 부터 차례대로 번호가 매겨진다. 둘째 줄에는 네트워크 상에서 직접 연결되어 있는 컴퓨터 쌍의 수가 주어 www.acmicpc.net 신종 바이러스인 웜 바이러스는 네트워크를 통해 전파된다. 한 컴퓨터가 웜 바이러스에 걸리면 그 컴퓨터와 네트워크 상에서 연결되어 있는 모든 컴퓨터는 웜 바이러스에 걸리게 된다. 예를 들어 7대의 컴퓨터가 과 같이 네트워크 상에서 연결되어 있다고 하자. 1번 컴퓨터가 웜 바이러스에 걸리면 웜 바이러스는 2번과 5번 컴퓨터를 거쳐 3번과 6번 컴퓨터까지 전파되어 2, 3, 5, 6 네 대의 컴퓨터는 웜 바..

Algorithm/백준 2021.10.04

[BOJ] 7576: 토마토(JAVA)

https://www.acmicpc.net/problem/7576 7576번: 토마토 첫 줄에는 상자의 크기를 나타내는 두 정수 M,N이 주어진다. M은 상자의 가로 칸의 수, N은 상자의 세로 칸의 수를 나타낸다. 단, 2 ≤ M,N ≤ 1,000 이다. 둘째 줄부터는 하나의 상자에 저장된 토마토 www.acmicpc.net 철수의 토마토 농장에서는 토마토를 보관하는 큰 창고를 가지고 있다. 토마토는 아래의 그림과 같이 격자 모양 상자의 칸에 하나씩 넣어서 창고에 보관한다. 창고에 보관되는 토마토들 중에는 잘 익은 것도 있지만, 아직 익지 않은 토마토들도 있을 수 있다. 보관 후 하루가 지나면, 익은 토마토들의 인접한 곳에 있는 익지 않은 토마토들은 익은 토마토의 영향을 받아 익게 된다. 하나의 토마토..

Algorithm/백준 2021.10.04

[BOJ] 1991: 트리 순회(JAVA)

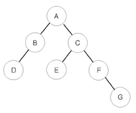
https://www.acmicpc.net/problem/1991 1991번: 트리 순회 첫째 줄에는 이진 트리의 노드의 개수 N(1 ≤ N ≤ 26)이 주어진다. 둘째 줄부터 N개의 줄에 걸쳐 각 노드와 그의 왼쪽 자식 노드, 오른쪽 자식 노드가 주어진다. 노드의 이름은 A부터 차례대로 알파 www.acmicpc.net 이진 트리를 입력받아 전위 순회(preorder traversal), 중위 순회(inorder traversal), 후위 순회(postorder traversal)한 결과를 출력하는 프로그램을 작성하시오. 예를 들어 위와 같은 이진 트리가 입력되면, 전위 순회한 결과 : ABDCEFG // (루트) (왼쪽 자식) (오른쪽 자식) 중위 순회한 결과 : DBAECFG // (왼쪽 자식) (..

Algorithm/백준 2021.10.01

[BOJ] 14725: 개미굴(JAVA)

https://www.acmicpc.net/problem/14725 14725번: 개미굴 첫 번째 줄은 로봇 개미가 각 층을 따라 내려오면서 알게 된 먹이의 정보 개수 N개가 주어진다. (1 ≤ N ≤ 1000) 두 번째 줄부터 N+1 번째 줄까지, 각 줄의 시작은 로봇 개미 한마리가 보내준 먹이 www.acmicpc.net 개미는(뚠뚠) 오늘도(뚠뚠) 열심히(뚠뚠) 일을 하네. 개미는 아무말도 하지 않지만 땀을 뻘뻘 흘리면서 매일 매일을 살길 위해서 열심히 일을 하네. 한 치 앞도(뚠뚠) 모르는(뚠뚠) 험한 이 세상(뚠뚠) 그렇지만(뚠뚠) 오늘도 행복한 개미들! 우리의 천재 공학자 윤수는 이 개미들이 왜 행복한지 궁금해졌다. 행복의 비결이 개미가 사는 개미굴에 있다고 생각한 윤수는 개미굴의 구조를 알아..

Algorithm/백준 2021.09.28

[BOJ] 1260: DFS와 BFS(JAVA)

https://www.acmicpc.net/problem/1260 1260번: DFS와 BFS 첫째 줄에 정점의 개수 N(1 ≤ N ≤ 1,000), 간선의 개수 M(1 ≤ M ≤ 10,000), 탐색을 시작할 정점의 번호 V가 주어진다. 다음 M개의 줄에는 간선이 연결하는 두 정점의 번호가 주어진다. 어떤 두 정점 사 www.acmicpc.net 문제 그래프를 DFS로 탐색한 결과와 BFS로 탐색한 결과를 출력하는 프로그램을 작성하시오. 단, 방문할 수 있는 정점이 여러 개인 경우에는 정점 번호가 작은 것을 먼저 방문하고, 더 이상 방문할 수 있는 점이 없는 경우 종료한다. 정점 번호는 1번부터 N번까지이다. 입력 첫째 줄에 정점의 개수 N(1 ≤ N ≤ 1,000), 간선의 개수 M(1 ≤ M ≤ 1..

Algorithm/백준 2021.09.27

[BOJ] 1149: RGB거리(JAVA)

https://www.acmicpc.net/problem/1149 1149번: RGB거리 첫째 줄에 집의 수 N(2 ≤ N ≤ 1,000)이 주어진다. 둘째 줄부터 N개의 줄에는 각 집을 빨강, 초록, 파랑으로 칠하는 비용이 1번 집부터 한 줄에 하나씩 주어진다. 집을 칠하는 비용은 1,000보다 작거나 www.acmicpc.net 문제 RGB거리에는 집이 N개 있다. 거리는 선분으로 나타낼 수 있고, 1번 집부터 N번 집이 순서대로 있다. 집은 빨강, 초록, 파랑 중 하나의 색으로 칠해야 한다. 각각의 집을 빨강, 초록, 파랑으로 칠하는 비용이 주어졌을 때, 아래 규칙을 만족하면서 모든 집을 칠하는 비용의 최솟값을 구해보자. 1번 집의 색은 2번 집의 색과 같지 않아야 한다. N번 집의 색은 N-1번 ..

Algorithm/백준 2021.09.27

[BOJ] 1932: 정수 삼각형(JAVA)

https://www.acmicpc.net/problem/1932 1932번: 정수 삼각형 첫째 줄에 삼각형의 크기 n(1 ≤ n ≤ 500)이 주어지고, 둘째 줄부터 n+1번째 줄까지 정수 삼각형이 주어진다. www.acmicpc.net 문제 위 그림은 크기가 5인 정수 삼각형의 한 모습이다. 맨 위층 7부터 시작해서 아래에 있는 수 중 하나를 선택하여 아래층으로 내려올 때, 이제까지 선택된 수의 합이 최대가 되는 경로를 구하는 프로그램을 작성하라. 아래층에 있는 수는 현재 층에서 선택된 수의 대각선 왼쪽 또는 대각선 오른쪽에 있는 것 중에서만 선택할 수 있다. 삼각형의 크기는 1 이상 500 이하이다. 삼각형을 이루고 있는 각 수는 모두 정수이며, 범위는 0 이상 9999 이하이다. 입력 첫째 줄에 ..

Algorithm/백준 2021.09.27