https://www.acmicpc.net/problem/1991
1991번: 트리 순회
첫째 줄에는 이진 트리의 노드의 개수 N(1 ≤ N ≤ 26)이 주어진다. 둘째 줄부터 N개의 줄에 걸쳐 각 노드와 그의 왼쪽 자식 노드, 오른쪽 자식 노드가 주어진다. 노드의 이름은 A부터 차례대로 알파
www.acmicpc.net
이진 트리를 입력받아 전위 순회(preorder traversal), 중위 순회(inorder traversal), 후위 순회(postorder traversal)한 결과를 출력하는 프로그램을 작성하시오.

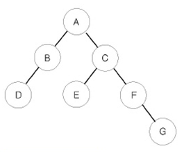
예를 들어 위와 같은 이진 트리가 입력되면,
- 전위 순회한 결과 : ABDCEFG // (루트) (왼쪽 자식) (오른쪽 자식)
- 중위 순회한 결과 : DBAECFG // (왼쪽 자식) (루트) (오른쪽 자식)
- 후위 순회한 결과 : DBEGFCA // (왼쪽 자식) (오른쪽 자식) (루트)
가 된다.
입력
첫째 줄에는 이진 트리의 노드의 개수 N(1 ≤ N ≤ 26)이 주어진다. 둘째 줄부터 N개의 줄에 걸쳐 각 노드와 그의 왼쪽 자식 노드, 오른쪽 자식 노드가 주어진다. 노드의 이름은 A부터 차례대로 알파벳 대문자로 매겨지며, 항상 A가 루트 노드가 된다. 자식 노드가 없는 경우에는 .으로 표현한다.
출력
첫째 줄에 전위 순회, 둘째 줄에 중위 순회, 셋째 줄에 후위 순회한 결과를 출력한다. 각 줄에 N개의 알파벳을 공백 없이 출력하면 된다.
예제 입력 1
7
A B C
B D .
C E F
E . .
F . G
D . .
G . .
예제 출력 1
ABDCEFG
DBAECFG
DBEGFCA
[문제 풀이]
전위, 주위, 후위 순회보다 이진 트리를 어떻게 구성할 지가 어려웠던 것 같다.
1. root 노드가 null이면 아직 트리에 어떠한 노드도 존재하지 않는 것이기 때문에 새로운 노드를 생성한다. (createNode)
1-1. 입력받은 노드, 왼쪽 자식 노드, 오른쪽 자식 노드가 각각 '.'가 아니면 새로운 노드를 root.left, root.right에 각각 생성한다.
2. root 노드가 null이 아니면 현재 입력받은 노드의 위치를 찾는다. (searchNode)
2-1. 루트 노드가 null이면 종료
2-2. 루트의 이름이(root.name) 입력받은 노드의 이름과 같고, 왼쪽 자식 노드, 오른쪽 자식 노드가 각각 '.'이 아니면 root.left, root.right에 새로운 노드를 생성한다.
2-3. 위의 경우에 모두 해당되지 않는다면 root를 root.left로 하고 왼쪽 자식 노드부터 같은 이름의 노드를 찾는다. 찾지 못하면 root.right로 root값에 넣고 오른쪽 자식 노드부터 같은 이름의 노드를 찾는다.
3. 전위 순회하는 결과는 루트, 왼쪽자식, 오른쪽 자식 노드 순으로 탐색하는 것이므로 전위 순회 함수에 들어가자마자 해당되는 노드의 이름을 출력하고 왼쪽 자식이 null이 아니면 왼쪽 자식을 루트로 다시 전위 순회 함수를 호출, 오른쪽 자식이 null이 아니면 오른쪽 자식을 루트로 다시 전위 순회 함수를 호출한다.
4. 중위 순회한 결과는 왼쪽 자식, 루트, 오른쪽 자식 순으로 탐색하는 것이므로 왼쪽 자식이 null이 아니면 왼쪽 자식을 루트로 중위 순회 함수를 호출, 루트 이름 출력, 오른쪽 자식이 null이 아니면 오른쪽 자식을 루트로 중위 순회 함수를 호출하는 순서로 재귀로 진행
5. 후위 순회한 결과는 왼쪽 자식, 오른쪽 자식, 루트 순으로 탐색 하는 것이므로 왼쪽 자식이 null이 아니면 왼쪽 자식을 루트로 중위 순회 함수를 호출, 오른쪽 자식이 null이 아니면 오른쪽 자식을 루트로 중위 순회 함수를 호출, 루트 이름 출력하는 순서로 재귀로 진행
[코드]
import java.util.*;
class Node{
char name;
Node left;
Node right;
public Node(char name) {
this.name = name;
}
}
class Tree{
Node root;
public void createNode(char name, char left, char right) {
if(root==null) {
if(name!='.')
root = new Node(name);
if(left!='.')
root.left = new Node(left);
if(right!='.')
root.right = new Node(right);
}
else
searchNode(root, name, left, right);
}
public void searchNode(Node root, char name, char left, char right) {
if(root==null)
return;
else if(root.name==name) {
if(left!='.')
root.left = new Node(left);
if(right!='.')
root.right = new Node(right);
}
else {
searchNode(root.left, name, left, right);
searchNode(root.right, name, left, right);
}
}
public void in(Node node) {
if(node.left!=null)
in(node.left);
System.out.print(node.name);
if(node.right!=null)
in(node.right);
}
public void pre(Node node) {
System.out.print(node.name);
if(node.left!=null)
pre(node.left);
if(node.right!=null)
pre(node.right);
}
public void post(Node node) {
if(node.left!=null)
post(node.left);
if(node.right!=null)
post(node.right);
System.out.print(node.name);
}
}
public class Main{
public static void main(String[] args) {
Scanner sc = new Scanner(System.in);
Tree tree = new Tree();
int N = sc.nextInt();
for(int i=0;i<N;i++)
tree.createNode(sc.next().charAt(0), sc.next().charAt(0), sc.next().charAt(0));
tree.pre(tree.root);
System.out.println();
tree.in(tree.root);
System.out.println();
tree.post(tree.root);
}
}'Algorithm > 백준' 카테고리의 다른 글
| [BOJ] 2606: 바이러스(JAVA) (0) | 2021.10.04 |
|---|---|
| [BOJ] 7576: 토마토(JAVA) (0) | 2021.10.04 |
| [BOJ] 14725: 개미굴(JAVA) (0) | 2021.09.28 |
| [BOJ] 1260: DFS와 BFS(JAVA) (0) | 2021.09.27 |
| [BOJ] 1149: RGB거리(JAVA) (0) | 2021.09.27 |