https://www.hackerrank.com/challenges/binary-search-tree-1/problem
Binary Tree Nodes | HackerRank
Write a query to find the node type of BST ordered by the value of the node.
www.hackerrank.com
You are given a table, BST, containing two columns: N and P, where N represents the value of a node in Binary Tree, and P is the parent of N.

Write a query to find the node type of Binary Tree ordered by the value of the node. Output one of the following for each node:
- Root: If node is root node.
- Leaf: If node is leaf node.
- Inner: If node is neither root nor leaf node.
Sample Input

Sample Output
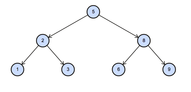
1 Leaf 2 Inner 3 Leaf 5 Root 6 Leaf 8 Inner 9 Leaf
Explanation
The Binary Tree below illustrates the sample:

[풀이]
1. P가 NULL이면 부모 노드가 없다는 것을 의미하므로, P가 NULL인 노드가 루트 노드이다.
2. P가 NULL이 아니고, 모든 P 중에 N이 존재한다면, 해당 노드가 누군가의 부모 노드라는 것을 의미하고, 자식 노드가 있음을 의미한다. 즉 이때는 Inner 노드이다.
3. 위의 경우에 모두 해당되지 않는다면 리프 노드이다.
1~3을 CASE 문을 이용하여 아래 코드와 같이 구현한다.
N이 작은 순서대로 값을 조회할 것이므로 ORDER BY N을 작성한다.
[코드]
SELECT N,
CASE
WHEN P IS NULL
THEN 'Root'
WHEN N IN (SELECT P FROM BST)
THEN 'Inner'
ELSE 'Leaf'
END
FROM BST
ORDER BY N'SQL > HackerRank' 카테고리의 다른 글
| [HackerRank/SQL] New Companies (0) | 2021.11.11 |
|---|---|
| [HackerRank/SQL] The Report (0) | 2021.11.10 |
| [HackerRank/SQL] The PADS (0) | 2021.11.06 |
| [HackerRank/SQL] Weather Observation Station 19 (0) | 2021.10.31 |
| [HackerRank/SQL] Weather Observation Station 18 (0) | 2021.10.30 |